近日,中国科学院合肥物质院强磁场中心盛志高研究员与荷兰Radboud大学A.V. kimel教授等团队合作,依托稳态强磁场实验装置(SHMFF),在2D vdW铁磁体Fe3GeTe2中,借助强磁场下的时间分辨磁光克尔技术,实现了强磁场对激光诱导超快退磁效应的调控,发现强磁场既能加快退磁速度,又能抑制退磁效率。该成果于2025年5月23日在线发表于国际权威期刊National Science Review。
1996年人们发现激光脉冲能诱导铁磁Ni的自旋,在飞秒级(10-15s)时间尺度上实现了超快退磁效应。这一发现开辟了超快自旋动力学研究的新领域,不仅为理解电子自旋、晶格和电荷之间的能量传递机制提供了全新视角,而且为开发超高速磁存储和逻辑器件奠定了基础。超快退磁过程包含了电子自旋、晶格振动和电荷载流子之间的复杂耦合作用,是多种能量传递通道竞争的结果。在不同耦合作用条件下可以出现飞秒级快过程、也可能出现皮秒级慢过程。如果能抑制/调控慢过程,有望将自旋相关数据处理速度提升至飞秒量级,或将彻底改变信息存储与处理的范式。因此,超快退磁的调控与机制研究一直是自旋电子学领域的核心议题之一。
相对于其它外场(温度、压力等),磁场能直接作用于物质中的自旋角动量,是调控自旋的有效手段。然而,除了极少数的实验观察和理论预测外,绝大多数超快退磁研究都是在远低于1 T的磁场中进行的。磁场这一重要调控自由度被长期忽略,关于超快退磁的磁控效应与机理,也尚未进行系统研究。
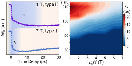
研究团队首次证实了磁场对超快退磁过程的速度、效率具有双重调控作用。团队通过SHMFF强磁场下时间分辨磁光克尔效应技术,在二维vdW铁磁体Fe3GeTe2中发现,7 T磁场可使退磁时间加速60%,同时将退磁效率抑制34%。基于对温度依赖特性的分析,团队在三温度模型框架内提出了基于自旋熵变化的磁调控机制。该模型具有普适性,不依赖于材料的电子结构和磁性结构特性,这意味着借助外加磁场控制超快退磁加速可能是广泛存在于各类材料中的普适现象。另外,这一磁场双调控效应在200 K左右的高温区更为明显,这有利于未来的器件应用。
强磁场中心汪洲和孙韬博士为共同第一作者,荷兰Radboud大学A.V. kimel教授和强磁场中心盛志高研究员为共同通讯作者。该项研究工作得到了国家重点研发计划、国家自然科学基金、欧洲研究委员会ERC基金等项目和强磁场安徽省实验室的支持。
论文链接:https://doi.org/10.1093/nsr/nwaf185

图 二维FGT中磁控超快退磁加速效应。